正航整理不透性石墨材料力学性能试验方法总则
时间:2015-07-03 08:57 来源:优米体育官网下载安装手机版 作者:正航网络
正航整理不透性石墨材料力学性能试验方法总则
1 范围
1.1本标准规定了不透性石墨材料力学性能试验的取样、试样加工方法.以及对仪器设备、数据处理、试验报告等的基本要求。
1.2 本标准适用于不透性石墨材料(块材、管材、浇注件)的抗压、抗拉、抗弯、抗冲击、水压爆破强度等力学性能的测定,也适用于石墨粘结剂材料的抗压、抗拉、抗弯、抗剪切强度等力学性能的测定。
2 规范性引用文件
下列文件中的条款通过本标准的引用而成为本标准的条款。凡是注日期的引用文件,其随后所有的修改单(不包括勘误的内容)或修订版均不适用于本标准,然而,鼓励根据本标准达成协议的各方研究是否可使用这些文件的版本。凡是不注日期的引用文件,其版本适用于本标准。
GB/T 2611 试验机通用技术要求
3 术语
3.1 不适性石墨
指用人造石墨和合成树脂等材料,按一定生产工艺制成的介质难以渗透的石墨材料。
按照制造工艺的不同可分为三类z 浸渍类不透性石墨、压型类不透性石墨、浇注类不透性石墨。
3. 2 有效试验蚊据
指试验时在试样规定部位破坏所得到的试验数据,简称有效数据。
4试样制备
4.取样
4.1块材
4.1.1.1以相同原料、配方及生产工艺生产的同一规格不多于30 t 的石墨块作为一批,随机抽样,抽样数量不少于3 块。
4.1.1.2 外购材料以同一时间、从同一生产厂家购进的同一规格材料为一批,随机抽样,抽样数量不少于3 块。
4. 1. 1. 3 最小截面不大于200 mm X 200 mm 的材料,在端部截去50 mm ,其余部分均可加工试样。
4. 1. 1.4 最小截面大于200 mm X 200 mm 的材料,在各表层刨去50 mm ,其余部分均可加工试样。
4.1.1.5 直径不大于350 mm 的材料,在端部截去50 mm ,然后在中心直径为100 mm 的圆柱体内取材加工试样。
4.1.1.6 直径大于350 mm 的材料,在端部截去50 mm ,然后在中心直径为200 mm 的圆柱体内取材加工试样。
4.1.2 管材
4.1.2.1 以同批原料、相同生产工艺生产的同一规格不透性石墨管为一批,随机抽样3 根~5 根。
4.1.2.2 外购不透性石墨管以同一时间、从同一生产厂家购进的同一规格材料为一批,随机抽样
3 根~5 根。
4.1.2.3 将管的两端截去50 mm ,剩余部分用于加工试样。
4.1.3 浇注件
按配方抽取所需原料,按生产工艺配制并浇注成石墨试样。
4.1.4 桔结剂
4.1.4.1 按配方抽取所需原料,按生产工艺配制并浇注成石墨粘结剂浇注试样。
4.1.4.2 按配方抽取所需原料,按生产工艺配制并将石墨件粘结成石墨粘结件试样。
4.2 试样加工
4.2.1 每组试样须分别从所抽石墨材料中制取。
4.2.2 浇注试样应进行热固化处理,热处理温度按产品要求确定。
4.2.3 试样加工时,除有特殊要求外,应使抗拉、抗压试样试验时的受力方向与材料的成型压力方向平行;使抗弯、抗冲击试样试验时的受力方向与材料的成型压力方向垂直。
4.2.4 先对所取石墨材料进行粗加工,然后按生产工艺进行浸渍,加工成试样。
4.2.5 试样加工(或浇注)尺寸按有关方法标准确定。
4.2.6 加工后试样表面粗糙度须达Ra<3.2 μm ,
4.2.7 粘结剂试样成型后不需再加工。
4.2.8 试样表面应元气泡、裂纹、砂眼、树脂瘤等明显缺陷。
4.2.9 对于抗弯试样,表面不得有分离层。
5 设备和仪器
5.1 材料试验机应符合GB/T 261 1.测量精度不低于l 级。
5.2 材料试验机的量程应使试验结果在其全量程的10%~90% 之间。
5.3 试验所用的压力表精度等级不低于0.4 级。
5.4 游标卡尺2 量程。~150 mm ,分度值。.02 mm 。
6 试验
6.1 将试样用广告颜料或油漆作标记编号。
6.2 试样尺寸测量到0.02 mm,
6.3 如无特殊要求,试验应在室温下进行。
6.4 每组试样数量应为7 个,以保障有5 个有效数据。
7 试验结果
7.1 用式(1)计算有效数据的算术平均值支,修约到三位有效数字。
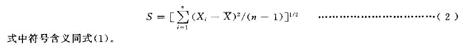
7.2 用式(2) 计算有效数据的标准差S ,保留三位有效数字。
7.3 用式(3)计算有效数据的变异系数C ,保留两位有效数字。
式中符号含义同式(1)和式(2) 。
8 试验报告
试验报告应包括下列内容:
a) 试验名称、编号、送样单位及送样日期;
b) 仪器设备名称、型号;
c) 试样尺寸、数量;
d) 试验加载速度,
e) 每个试样的破坏载荷及破坏部位;
f)试验结果:算术平均值X、标准差5 、变异系数c.,
g) 试验日期及试验人员。
1 范围
1.1本标准规定了不透性石墨材料力学性能试验的取样、试样加工方法.以及对仪器设备、数据处理、试验报告等的基本要求。
1.2 本标准适用于不透性石墨材料(块材、管材、浇注件)的抗压、抗拉、抗弯、抗冲击、水压爆破强度等力学性能的测定,也适用于石墨粘结剂材料的抗压、抗拉、抗弯、抗剪切强度等力学性能的测定。
2 规范性引用文件
下列文件中的条款通过本标准的引用而成为本标准的条款。凡是注日期的引用文件,其随后所有的修改单(不包括勘误的内容)或修订版均不适用于本标准,然而,鼓励根据本标准达成协议的各方研究是否可使用这些文件的版本。凡是不注日期的引用文件,其版本适用于本标准。
GB/T 2611 试验机通用技术要求
3 术语
3.1 不适性石墨
指用人造石墨和合成树脂等材料,按一定生产工艺制成的介质难以渗透的石墨材料。
按照制造工艺的不同可分为三类z 浸渍类不透性石墨、压型类不透性石墨、浇注类不透性石墨。
3. 2 有效试验蚊据
指试验时在试样规定部位破坏所得到的试验数据,简称有效数据。
4试样制备
4.取样
4.1块材
4.1.1.1以相同原料、配方及生产工艺生产的同一规格不多于30 t 的石墨块作为一批,随机抽样,抽样数量不少于3 块。
4.1.1.2 外购材料以同一时间、从同一生产厂家购进的同一规格材料为一批,随机抽样,抽样数量不少于3 块。
4. 1. 1. 3 最小截面不大于200 mm X 200 mm 的材料,在端部截去50 mm ,其余部分均可加工试样。
4. 1. 1.4 最小截面大于200 mm X 200 mm 的材料,在各表层刨去50 mm ,其余部分均可加工试样。
4.1.1.5 直径不大于350 mm 的材料,在端部截去50 mm ,然后在中心直径为100 mm 的圆柱体内取材加工试样。
4.1.1.6 直径大于350 mm 的材料,在端部截去50 mm ,然后在中心直径为200 mm 的圆柱体内取材加工试样。
4.1.2 管材
4.1.2.1 以同批原料、相同生产工艺生产的同一规格不透性石墨管为一批,随机抽样3 根~5 根。
4.1.2.2 外购不透性石墨管以同一时间、从同一生产厂家购进的同一规格材料为一批,随机抽样
3 根~5 根。
4.1.2.3 将管的两端截去50 mm ,剩余部分用于加工试样。
4.1.3 浇注件
按配方抽取所需原料,按生产工艺配制并浇注成石墨试样。
4.1.4 桔结剂
4.1.4.1 按配方抽取所需原料,按生产工艺配制并浇注成石墨粘结剂浇注试样。
4.1.4.2 按配方抽取所需原料,按生产工艺配制并将石墨件粘结成石墨粘结件试样。
4.2 试样加工
4.2.1 每组试样须分别从所抽石墨材料中制取。
4.2.2 浇注试样应进行热固化处理,热处理温度按产品要求确定。
4.2.3 试样加工时,除有特殊要求外,应使抗拉、抗压试样试验时的受力方向与材料的成型压力方向平行;使抗弯、抗冲击试样试验时的受力方向与材料的成型压力方向垂直。
4.2.4 先对所取石墨材料进行粗加工,然后按生产工艺进行浸渍,加工成试样。
4.2.5 试样加工(或浇注)尺寸按有关方法标准确定。
4.2.6 加工后试样表面粗糙度须达Ra<3.2 μm ,
4.2.7 粘结剂试样成型后不需再加工。
4.2.8 试样表面应元气泡、裂纹、砂眼、树脂瘤等明显缺陷。
4.2.9 对于抗弯试样,表面不得有分离层。
5 设备和仪器
5.1 材料试验机应符合GB/T 261 1.测量精度不低于l 级。
5.2 材料试验机的量程应使试验结果在其全量程的10%~90% 之间。
5.3 试验所用的压力表精度等级不低于0.4 级。
5.4 游标卡尺2 量程。~150 mm ,分度值。.02 mm 。
6 试验
6.1 将试样用广告颜料或油漆作标记编号。
6.2 试样尺寸测量到0.02 mm,
6.3 如无特殊要求,试验应在室温下进行。
6.4 每组试样数量应为7 个,以保障有5 个有效数据。
7 试验结果
7.1 用式(1)计算有效数据的算术平均值支,修约到三位有效数字。
7.2 用式(2) 计算有效数据的标准差S ,保留三位有效数字。
7.3 用式(3)计算有效数据的变异系数C ,保留两位有效数字。
式中符号含义同式(1)和式(2) 。
8 试验报告
试验报告应包括下列内容:
a) 试验名称、编号、送样单位及送样日期;
b) 仪器设备名称、型号;
c) 试样尺寸、数量;
d) 试验加载速度,
e) 每个试样的破坏载荷及破坏部位;
f)试验结果:算术平均值X、标准差5 、变异系数c.,
g) 试验日期及试验人员。
本页关键词:不透性石墨材料力学性能试验方法总则







